【曲轴信号】

碎碎念
平常上个班儿,老是让我复现下喷射的问题,这个玩意需要模拟曲轴信号才能喷,结果我搭好台子老是喷不起来,设置曲轴信号的模拟器每个项目都不一样也不告诉我程序里怎么设置的,就让我复现,贼难受!!! 每次说不想让我接触这个因为学习成本太大,结果天天复现问题。这回又来了,我把这些参数都搞明白,然后对应程序里的值是什么都弄清楚,不求人!!!
以下参数到底是什么怎么设置
曲轴正常齿数Crk_numTooth
曲轴同步齿数Crk_numSynGrp
曲轴齿类型Crk_idxTypTooth
曲轴多齿数Crk_numAddTooth
曲轴缺齿数Crk_numMisTooth
曲轴边沿类型Crk_idxEdgeTypt
参考齿到TDC1 Crk_phiCrkOfs
曲轴信号类型 Crk_TypeSig
1、曲轴信号类型 Crk_TypeSig
曲轴位置传感器是电控发动机的重要部件, 为 ECU 控制发动机点火正时、 确认曲轴位置的主要信号来源。 曲轴位置传感器输出信号还用来检测发动机活塞上止点信号、 曲轴转角信号和发动机转速。目前,汽车上常用的曲轴位置传感器结构形式有磁感应式、霍尔式和光电式
磁感应式
曲轴位置传感器 图 2-14 为磁感应式曲轴位置传感器工作原理图,磁感应式传感器曲轴转速转换成感应电动势,感应电动势大小与发动机转速有关,转速越高,信号轮凸齿切割磁场的速度越高,输出电压幅值越高, 幅值一般在 10V 以内。
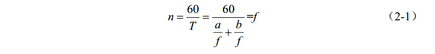
通常汽油发动机曲轴位置传感器是 60-2 信号轮,有 58 个凸齿和 2 个缺齿,当信号轮按图 2-14 所示方向转旋转一周,会产生 58 个交替出现的类似正弦信号的感应电动势,当缺齿位置转过磁头时会产生一个时间较长的低压信号,作为正时基准信号。假设发动机转速为 n,单位是转/分钟(r/min) ,在 T 秒内转了 1转,信号轮凸齿数 a=58,缺齿数为 b=2,输出信号频率为 f , 缺齿处信号频率为f b, 可得:
即发动机的转速等于输出正弦波信号的频率。因此,磁感应式传感器输出的信号是一个频率和幅值随发动机转速变化的类似正弦信号交变信号,且频率与发动机转速呈正比例关系。磁感应式曲轴位置传感器常见的故障有输出信号与正常值相比偏小甚至无信号输出、脉冲的部分动态变化信号丢失等, 使发动机不能平稳运行而抖动,严重时导致发动机熄火。

得到结论:60齿的曲轴转盘发动机的转速等于输出正弦波信号的频率
霍尔型曲轴信号模拟器发出的的波形
霍尔式曲轴位置传感器是利用霍尔效应的原理,产生与曲轴转角相对应的电压脉冲信号的。它是利用触发叶片或轮齿改变通过霍尔元件的磁场强度,从而使霍尔元件产生脉冲的霍尔电压信号,经放大整形后即为曲轴位置传感器的输出信。
霍尔效应:把一块半导体基片(霍尔元件)放在磁场中。当在与磁场垂直的方向上通以电流时,则在与磁场和电流相垂直的另外横向侧面上产生电压。这一现象是1879年就读于美国霍普金斯大学的物理学家霍尔发现的,因此命名为霍尔效应。
触发叶片的霍尔式


触发轮齿的霍尔式


